隨著各國相繼推出燃油車禁售時間表,近日工業和信息化副部長辛國斌在2017中國汽車產業發展(泰達)國際論壇上表示“全球產業生態正在重構,許多國家紛紛調整發展戰略,在新能源、智能互聯網產業加快布局。目前我國工信部也啟動了相關研究,制定停止生產銷售傳統能源汽車時間表。”
相比于傳統的燃油車,新能源汽車不產生任何尾氣排放,在環保上具有天然優勢,但是新能源汽車在使用的便捷性上仍然有待提高。首先是充電樁的數量不足,導致充電困難。其次充電時間較長,導致電動汽車不適合長途旅行。前者可以通過基礎設施等發展得到解決,后者則需要鋰離子電池技術的進步才能克服。
我們知道相比于快速放電性能,鋰離子電池在快速充電方面還有很大的差距,這其中的主要原因是在Li+在電解液中是以溶劑化的狀態存在的,在擴散通過SEI膜并嵌入到石墨的內部時,Li+需要首先進行去溶劑化過程,而這一過程是需要消耗能量的,這就在SEI/電解液界面處形成了一道無形的勢壘,阻礙Li+的快速擴散和嵌入道石墨負極內部。而放電過程則正好相反,Li+擴散進入到電解液中,發生溶劑化,并不需要消耗能量,因此擴散鋰離子電池的放電速度要遠遠高于充電速度【1】。
為了實現電動汽車快速充電而不對鋰離子電池的電性能造成損害,就需要對動力電池可接受的最大充電電流進行研究。過大的電流快速充電常見的后果是金屬鋰在負極析出,特別是在低溫下,石墨負極的動力學條件變差,更容易導致金屬鋰在石墨負極的表面析出【2】。
鋰離子電池正負極材料充電過程中一般都會有一定的體積膨脹,放電的過程,則會發生體積收縮,但是當負極析出金屬鋰時,特別是當部分的金屬鋰為不可逆析出時,則鋰離子電池的體積也會發生不可逆的膨脹,因此可以通過測量電池厚度變化對負極金屬鋰析出的行為進行判斷。德國戴姆勒公司的研發部門近日通過測量鋰離子電池在充電過程中的厚度變化,研究了離子電池最大充電電流與充電量、SoC和環境溫度之間的關系。

關于鋰離子電池厚度的研究,采用的測試方法的精度一般在1um左右,而在戴姆勒公司的研究中,F.Grimsmann等則使用了精度高于10nm的測試工具對充電過程中鋰離子電池厚度變化進行了研究。借助于如此之高的精度,研究者們可以對極小的充電量下鋰離子電池的厚度變化進行測量,這一點在電動汽車的制動過程中的能量回收來說具有很大的意義。
實驗中采用的電池為能量型的20Ah方形NMC/石墨鋰離子電池,實驗在控溫箱中進行,實驗溫度分別控制在0,10和25℃,這都是電動汽車常見的使用溫度,實驗的電池的SoC分別為12.5%、50%和75%,基本上覆蓋了動力電池的使用范圍。下圖為SoC為12.5%,溫度10℃,充電量為1.25%時電池在不同的充放電倍率下,電池厚度變化的信息。從圖上可以看到,在小電流時,在鋰離子電池完成放電時,電池的厚度還能夠回到初始值,但是當充電電流達到4C以上時,電池的厚度就無法恢復到初始厚度,而這部分增加的厚度就是因為金屬鋰在負極表面析出造成的,并且電流越大,析出的金屬鋰越多,鋰離子電池厚度增加的也就越多。所以此時,保證電池不析出金屬鋰的電流就在3C-4C之間。

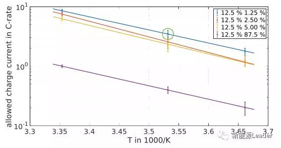
下圖為SoC為12.5%的電池,不同的充電量下(1.25%、2.5%、5%和87.5%),最大電流與環境溫度的關系,從圖上可以看到,充電量越多,則最大充電電流越小,溫度越低,充電電流越小。同時我們注意到,雖然四條曲線雖然電流差異很大,但是幾條曲線的斜率基本上是一致的。

下圖為SoC為12.5%的電池,在不同的溫度下,最大充電電流與充電量之間的關系,從圖上可以注意到,充電量越小,則最大充電電流越大,溫度越高,最大充電電流越大。

下圖為SoC為12.5%的電池,在溫度為10℃的條件下,最大充電電流與充電電量之間的關系,可以看到,此時充電電量與最大充電電流之間幾乎是呈現線性相關的關系的,關系式如下所示,其中a=4.3。這意味著小充電電量,可以采用更大的充電電流,例如當充電電量為0.1%時,對于SoC為12.5%,溫度為10℃的電池,最大充電電流可達13.7C。

下圖為25℃,不同的充電電量下(1.25%、2.5%和5%),最大充電電流與電池SoC之間的關系,從圖上可以看到,隨著電池SoC狀態的增加,鋰離子電池的最大充電電流也在降低。

從上述分析中可以看到,電池的SoC狀態,環境溫度、充電電量等都對鋰離子電池的最大充電電流有著較大的影響,環境溫度越高、充電量越小、電池的SoC狀態越低,則可以接受的充電電流越大,反之則越小。因此在鋰離子電池充電控制過程中需要對這些參數進行精確測量,從而對最大充電電流進行控制,避免電流過大對鋰離子電池造成不可逆的傷害。

責任編輯: 中國能源網